Descripción: Número ideal de años-Alumnos necesarios para que una cohorte finalice el ciclo completo de la enseñanza primaria o secundaria expresado en porcentaje del número efectivo años alumnos.
Cálculo:

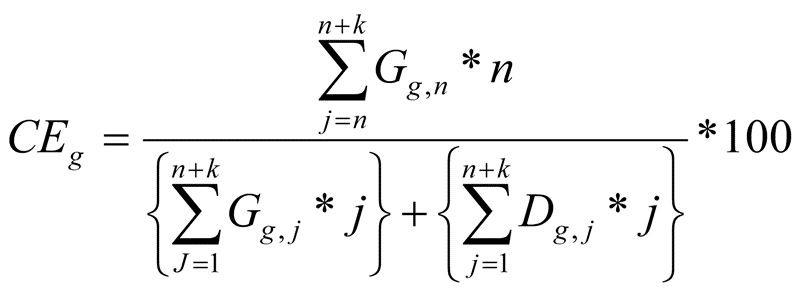
En donde
Coeficiente de eficiencia para una cohorte de alumnos g
Número de alumnos de la cohorte g que obtienen el último grado n del nivel después de n, años de estudio sin repetición
Número de alumnos de la cohorte g que obtienen el último grado n del nivel después de j años de estudios
Número de alumnos de la cohorte g que desertan de la escuela después de j años de estudio
k= indica el número de repeticiones toleradas
n= la duración normal establecida de los estudios del nivel educativo correspondiente
Fuente: Matrícula y registros escolares de las escuelas públicas y privadas del nivel preescolar, primario y medio.
Desagregación: Nacional y Provincial
Periodicidad: Anual
Contacto:
Nombre: Licdo. José Almanza
Cargo: Jefe de Estadística del MEDUCA
Correo electrónico: jose.almanza@meduca.gob.pa
Teléfono: 515-7300